Featured
- Get link
- X
- Other Apps
Differentiation Under The Integral Sign
Differentiation Under The Integral Sign. The integral of sqrt(x^2+1) dx next page : Under a reasonably loose situation on.

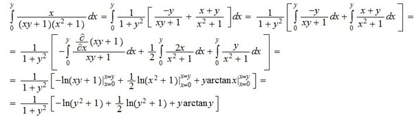
Under fairly loose conditions on the function being integrated, differentiation under the integral sign allows one to interchange the order of integration and differentiation. Differentiation under the integral sign. Differentiation under the integral sign can be defined as an algebraic operation in calculus, performed for assessment of certain integrals.
In Celebration Of Richard Feynmans Birthday, This Video Goes Over A Method Of Integration Not Invented By Him, But Still One Of His Favorites!
Differentiating under the integral sign 3 so (2.4) z 1 0 xe txdx= 1 t2: Formally it can be stated as follows: Differentiation under the integral sign can be defined as an algebraic operation in calculus, performed for assessment of certain integrals.
Differentiation Under The Integral Sign.
Differentiation under the integral sign. Differential and integral calculus multiple choice questions on “differentiation under integral sign”. Differentiation under the integral sign is an operation in calculus used to evaluate certain integrals.
What Is Derivative Of The Integral In Mathematics, Leibniz's Rule For Differentiation Under The Sign Of The Integral, Named After Gottfried Leibniz, Tells Us That If We Have An Integral Of The Form.
Let us take a look at other examples. Differentiating under an integral sign to study the properties of a chf, we need some technical result. I learned about this method from the website of noam.
If The Range Of The Integral Is.
Surely you’re joking, mr feynman! We derive one of euler’s formulas by employing the trick of differentiating under the integral sign. When can we switch the differentiation and integration?
The Integral Of Sqrt(X^2+1) Dx Next Page :
This case is also known as the leibniz integral rule. If g is continuous on [a, b] and f 1 (x) and f 2 (x) are differentiable functions whose values lie in [a , b], then. Under a reasonably loose situation on.
Popular Posts
Escherichia Coli Under Microscope 100X
- Get link
- X
- Other Apps
Comments
Post a Comment